헤더 바로가기 본문 바로가기 푸터 바로가기
HOME 고객지원

Q&A 문의

세스코의 궁금한 부분을 상세히 답변드리겠습니다.
도와줘요
  • 작성자 김민찬
  • 작성일 2021.05.12
  • 문의구분 기타문의

1. (서술형)원가가 9000원인 상품이 있다. 이 상품을 정가의 10% 할인하여 200개를 판매하고, 행사 기간 동안 이 할인된 가격의 30%를 더 할인하여 100개를 팔아도, 원가의 17% 이상의 이익이 남도록 하려면 정가는 최소한 얼마어야 하는가?


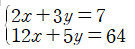
2. (서술형)

이미지 1.png
이 연립일차방정식을 대입법과 가감법을 이용하여 푸시오.

 

 

숙제는 직접하셔야 합니다. ㅡㅡ^

 

 

 

답변일 2021.05.14